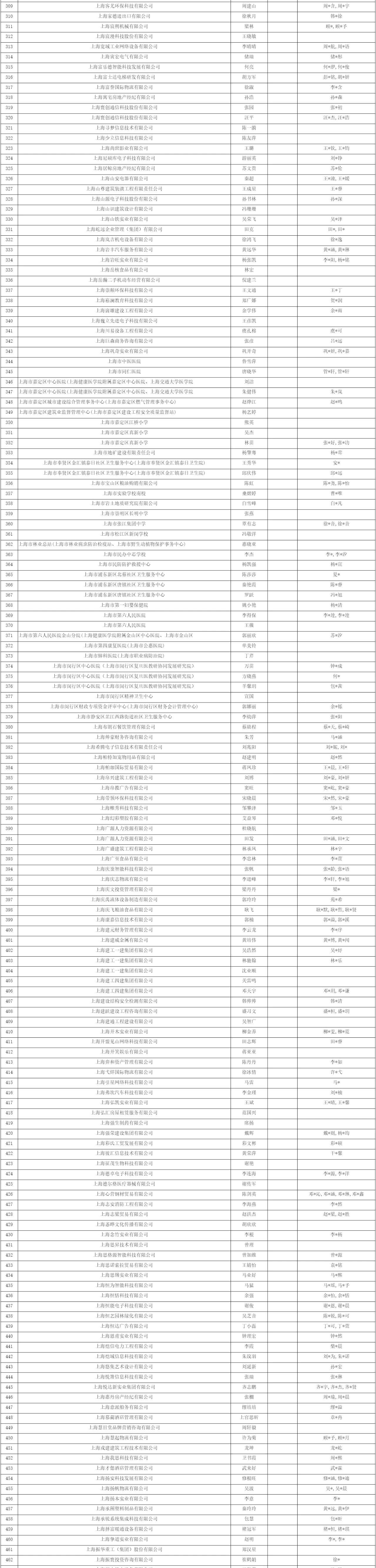
9月1日,上海国际人才网发布了2025年8月第2批上海居转户落户公示名单查询,共有1473位朋友进入公示名单,快来看看这一批名单里面有你的名字嘛!
居转户名单:https://www.sh-italent.com/Article/202509/202509010002.shtml
(复制到浏览器查看)
不确定自己是否符合居转户落户条件?点击【上海落户条件自测】-键自查










9月1日,上海国际人才网发布了2025年8月第2批上海居转户落户公示名单查询,共有1473位朋友进入公示名单,快来看看这一批名单里面有你的名字嘛!
居转户名单:https://www.sh-italent.com/Article/202509/202509010002.shtml
(复制到浏览器查看)
不确定自己是否符合居转户落户条件?点击【上海落户条件自测】-键自查










一对一规划顾问

很多人在计算上海居住证积分时,对社保的加...
上海居住证120分如何计分?上海怎么查自...
在上海居住证积分的整个申请过程中,大家一...
家里有孩子马上要高考了,家长有上海积分1...
想知道居住证积分怎么算、怎么查?《上海居...
开学临近,不少非沪籍家长陷入焦虑:孩子要...
为了确保您的测评结果更准确, 我们申请您留下联系方式以便我们人工审核后通过电话回访告诉您准确的测评结果。*您的信息受 《隐私保护声明》保护
提交成功




更多福利,等你解锁!