10月31日,上海市人社局发布了2024年10月第2批上海居转户公示名单,共有3181位朋友进入公示,快来看看这一批名单里面有你的名字嘛!此次落户上海名单公示时间自2024-10-31至2024-11-6,共7天。
不确定自己是否符合上海落户条件?点击【上海落户条件自测】一键自查
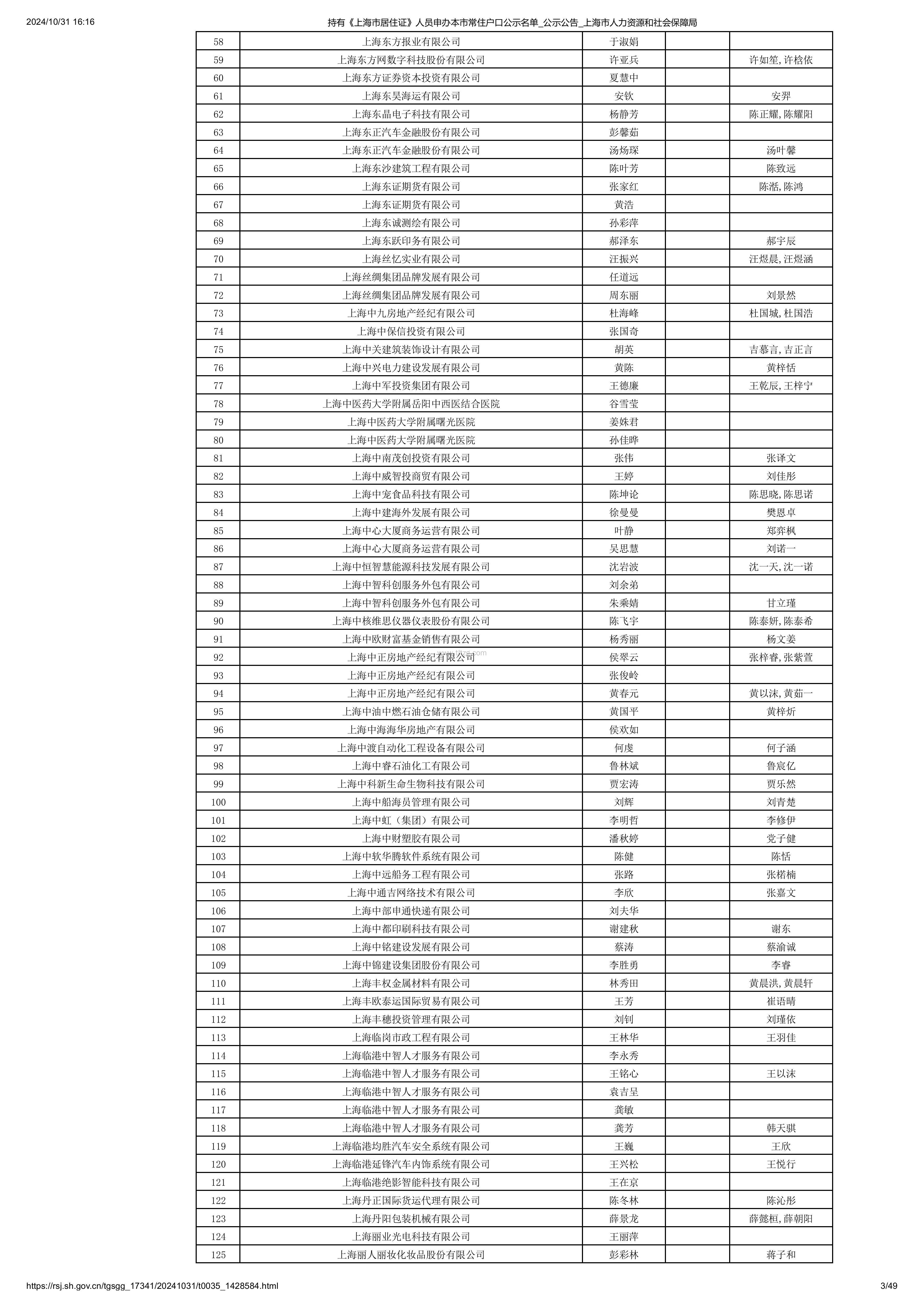
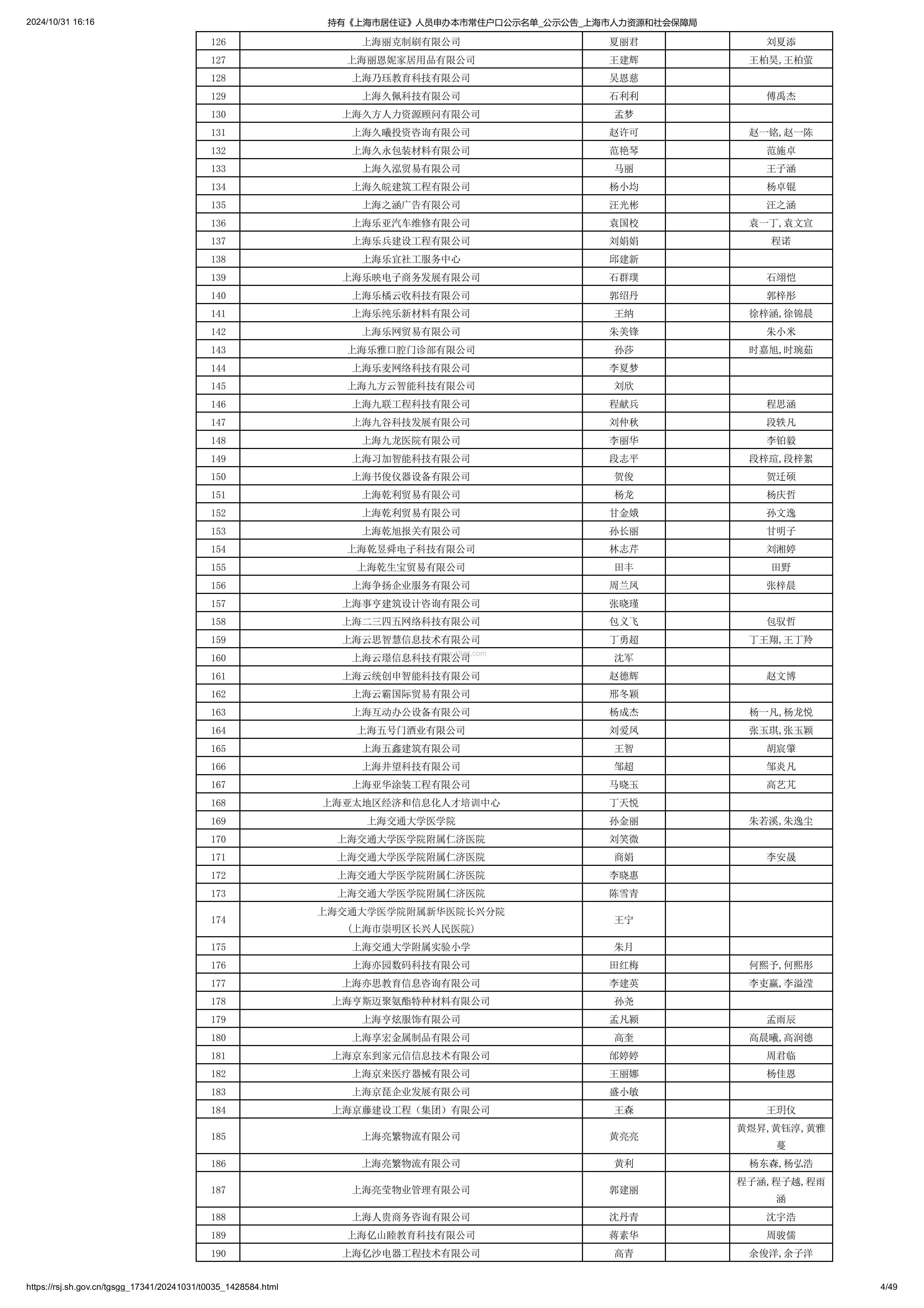
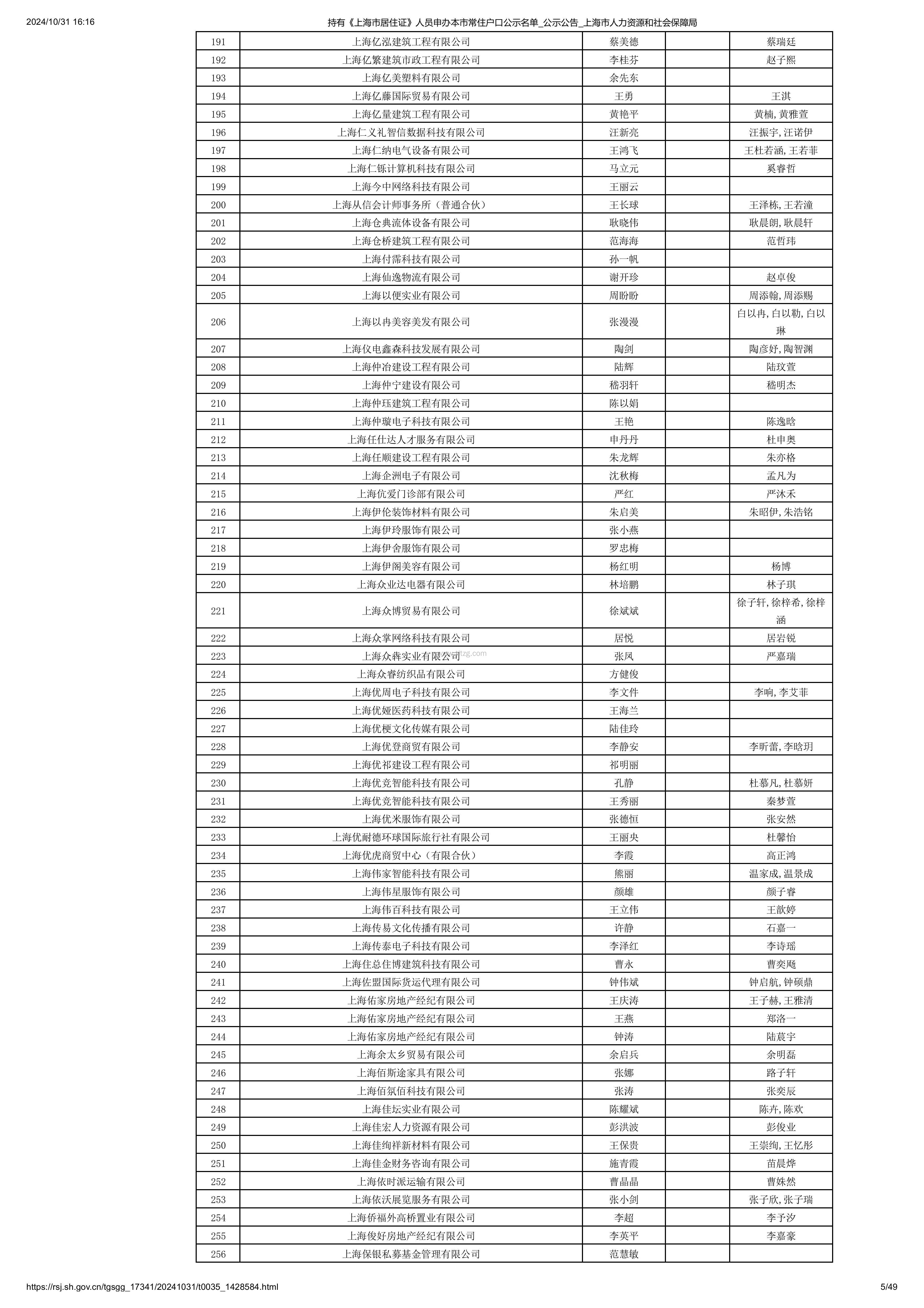
此次名单较多,本文只展示部分,完整名单可查看持有《上海市居住证》人员申办本市常住户口公示名单





10月31日,上海市人社局发布了2024年10月第2批上海居转户公示名单,共有3181位朋友进入公示,快来看看这一批名单里面有你的名字嘛!此次落户上海名单公示时间自2024-10-31至2024-11-6,共7天。
不确定自己是否符合上海落户条件?点击【上海落户条件自测】一键自查
此次名单较多,本文只展示部分,完整名单可查看持有《上海市居住证》人员申办本市常住户口公示名单





一对一规划顾问

上海居住证120分如何计分?上海怎么查自...
很多人在计算上海居住证积分时,对社保的加...
在上海居住证积分的整个申请过程中,大家一...
“我居住证已经办了三年,孩子明年要上学,...
很多外地来沪打拼的朋友都有一个核心疑问:...
“我大专毕业,社保交了5年,够120分吗...
为了确保您的测评结果更准确, 我们申请您留下联系方式以便我们人工审核后通过电话回访告诉您准确的测评结果。*您的信息受 《隐私保护声明》保护
提交成功




更多福利,等你解锁!