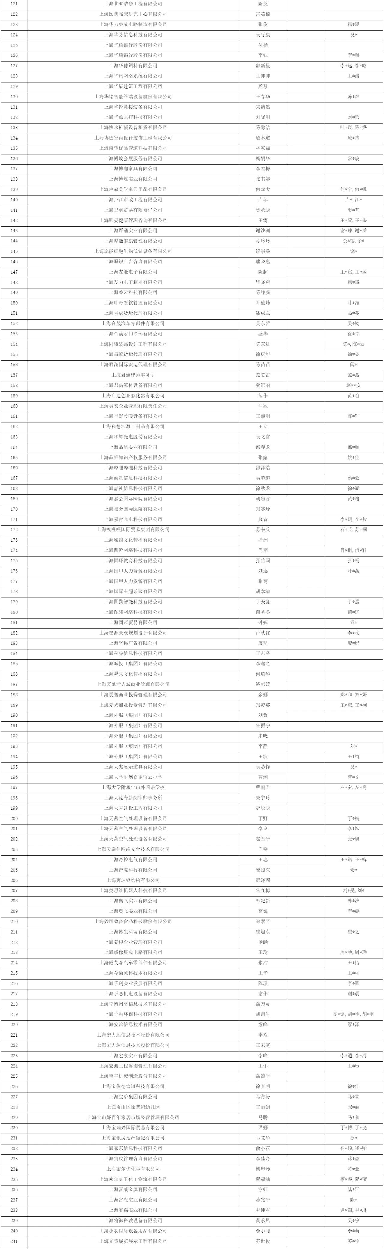
2025年上海落户公示10月第一批居转户落户名单以及人才引进落户名单已在上海国际人才网公布,公示成功上岸居转户1149人,人才引进1375人,恭喜!如果不知道自己是否符合落户条件的小伙伴,可以点击下方落户模拟计算器进行查询
居转户公示名单
获取完整名单可添加老师微信咨询~~~





人才引进公示名单
获取完整名单可添加老师微信咨询~~~






2025年上海落户公示10月第一批居转户落户名单以及人才引进落户名单已在上海国际人才网公布,公示成功上岸居转户1149人,人才引进1375人,恭喜!如果不知道自己是否符合落户条件的小伙伴,可以点击下方落户模拟计算器进行查询
居转户公示名单
获取完整名单可添加老师微信咨询~~~





人才引进公示名单
获取完整名单可添加老师微信咨询~~~






一对一规划顾问

很多人在计算上海居住证积分时,对社保的加...
上海居住证120分如何计分?上海怎么查自...
在上海居住证积分的整个申请过程中,大家一...
“大专学历只有50分,孩子在老家马上要上...
2026上海市居住证积分分值是多少?有不...
大专学历到底能加多少分?社保交到2倍能换...
为了确保您的测评结果更准确, 我们申请您留下联系方式以便我们人工审核后通过电话回访告诉您准确的测评结果。*您的信息受 《隐私保护声明》保护
提交成功




更多福利,等你解锁!