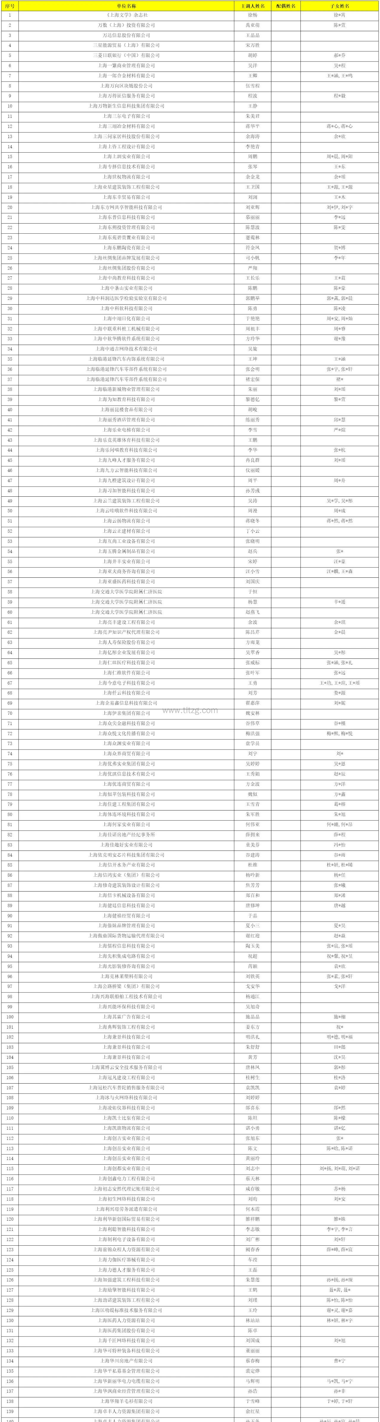
2025年6月第1批上海落户公示名单出炉了!上海落户公示名单查询怎么查?最新上海落户公示名单查询入口给大家放在下面了(复制到浏览器打开)本次公示居转户一共有1307人落户成功!看看名单上有没有自己的名字,可以着手准备公示后流程了~~~
🚩人才引进入口:https://www.sh-italent.com/Article/202506/202506160005.shtml
🚩居转户入口:https://www.sh-italent.com/Article/202506/202506160004.shtml
(有效期5天,6.16-6.20)
不确定自己是否符合上海落户条件?点击【上海落户条件自测】一键自查
上海落户公示名单查询:最新居转户完整名单










 
                 
                 
             
                            
                         
             
             
             
             
            
 
                                     
                                     
                                     
                                     
                                     
                                     
             
                 
                     
                         
                     
                        
                    



